尾石彩夏

尾州ファンシーツイードを利用した冬用コートの制作

アパレルメディア分野
井上研究室
制作

研究内容

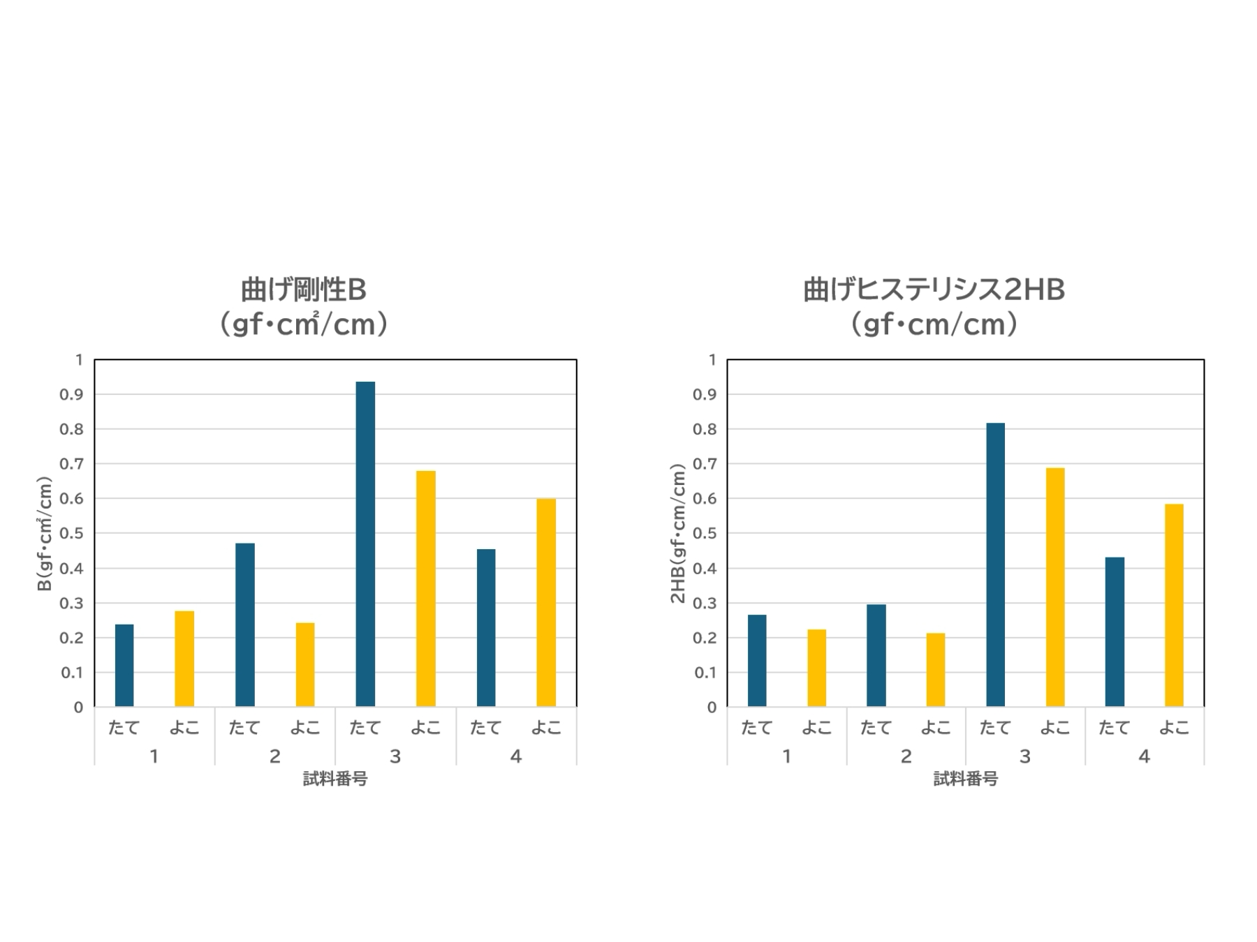
ファンシーツイードとは装飾効果を付加させた意匠糸で織られた生地であり、カジュアルからフォーマルまで幅広く活用できる。また、尾州とは愛知県一宮市を中心とした尾張西部から岐阜県西濃エリアのことを指し、毛織物の産地として知られている。大学の講義で尾州に触れる機会があり、技術力の高さに驚き興味を持ち卒業研究で使いたいと考えた。今回は、尾州産地のファンシーツイードを用いて試料布による布の力学特性の実験を行い、結果をもとに冬用コートを制作した。

研究形式:制作

作品、作品論文、パネル、梗概

アパレルメディア分野の
その他の作品

青木志緒

アパレルメディア分野
制作

東倫花

アパレルメディア分野
制作

岩月咲来

アパレルメディア分野
論文